
調環酸鈣
中文通用名稱:調環酸鈣
英文通用名稱:prohexadione calcium
商品名稱:普矮特,立豐靈,Apogee
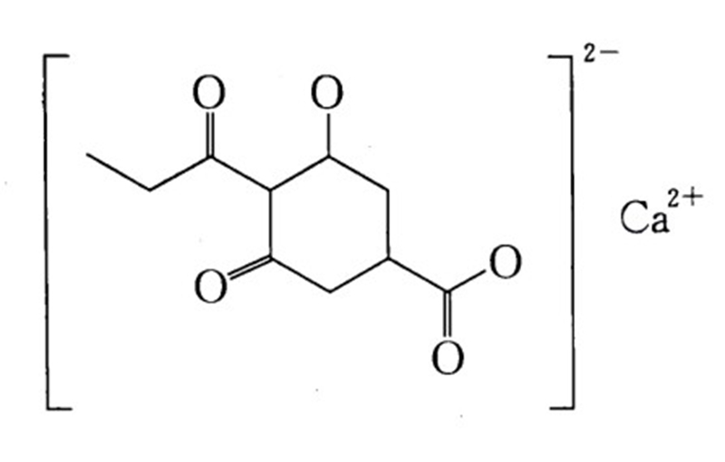
化學名稱:3, 5-二氧代-4-丙酰基環己烷羧酸鈣
分子式:CroH.CaO
化學結構式:

相對分子質量:250.3
理化性質:外觀為土黃色粉末,熔點> 360°C,密度為1.460 g/cm3,水中溶解度為(20°C) 174mg/L,對光、熱穩定,在水溶液中穩定,堿性條件下穩定。
毒性:微毒
主要劑型:92%調環酸鈣粉劑,15%調環酸鈣可濕性粉劑,10%調環酸鈣水分散粒劑
推薦新聞recommended news
MORE+紀念抗戰勝利80周年——正義必勝!和平必勝!人民必勝! ...
2025-09-03 2025年9月3日,紀念中國人民抗日戰爭暨世界反法西斯戰爭勝利80周年大會在北京天安門廣場隆重舉行,中共中央總書記、國家主席、中央軍委主席習近平發表重要講話并檢閱受閱部隊。閱兵儀式是一個國家展現自身實力、凝聚民族精神的重要時刻,它不僅是對歷史的銘記,更是對未來的宣誓。抗戰勝利80周年閱兵儀式,便是這樣一場承載著厚重意義...立秋 ...
2025-08-07 始驚三伏盡 又遇立秋時立秋,是“二十四節氣”之第十三個節氣,也是秋季的起始。斗指西南,太陽達黃經135,“立”,是開始之意;“秋”,意為禾谷成熟。立秋是陽氣漸收、陰氣漸長,由陽盛逐漸轉變為陰盛的轉折。立秋與立春、立夏、立冬并稱“四立”,也是古時“四時八節”之一。秋天是禾谷成熟、收獲的季節,古時立秋,民間有祭祀土地神,慶...大暑 ...
2025-07-22 大暑至 盛夏濃大暑,是二十四節氣中的第十二個節氣,也是夏季最后一個節氣。斗指未,太陽黃經為120。“暑”是炎熱的意思,大暑,指炎熱之極。大暑相對小暑,更加炎熱,是一年中陽光最猛烈、最炎熱的節氣,“濕熱交蒸”在此時到達頂點。最近國內多地出現40℃以上高溫,但直到本月的20號才算真正的進入三伏天。今日大暑至,我們就此進入...鄭州農達生化組織全員參加全省農藥安全生產暨科學使用培訓 ...
2025-07-11 2025年7月10日,由河南省農藥管理處主辦的河南省農藥安全生產暨科學使用視頻培訓班(河南農藥大講堂第三期),在河南省農業農村廳二樓視頻會議室成功舉辦。本次培訓聚焦三大核心議題:我國農作物重大病蟲害發生態勢與防控對策;蟲口奪糧的戰爭演變與農藥使用技術發展;農藥企業安全生產有關注意事項和安排。全國農技中心、中國農科院植物...